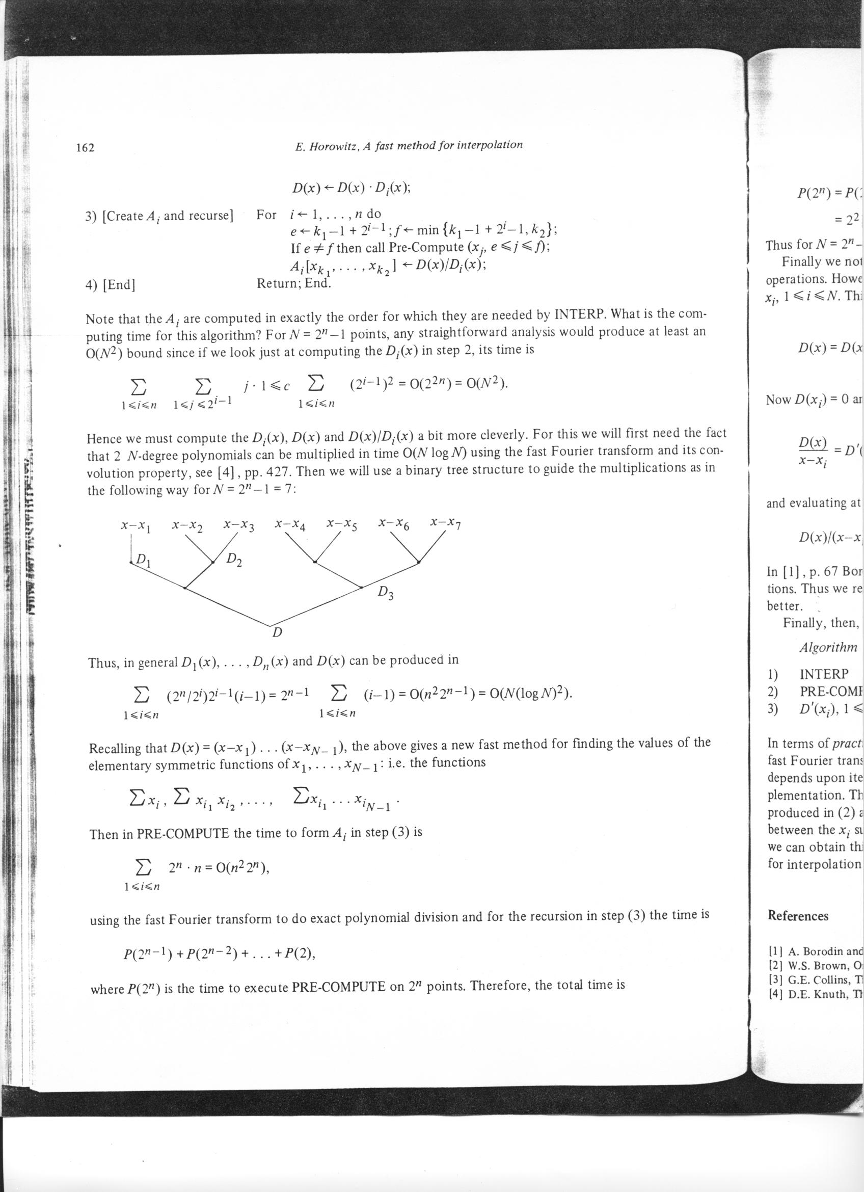
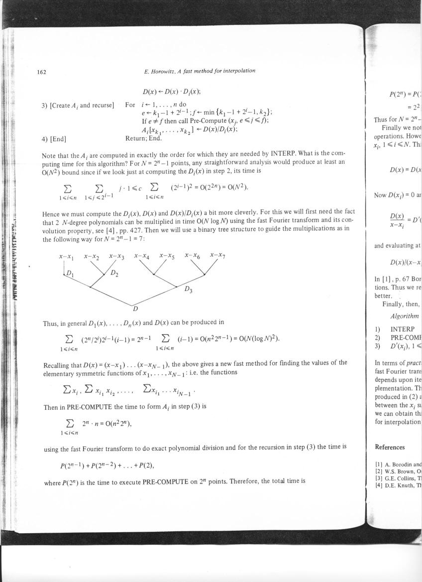
01.jpg 02.jpg 03.jpg 04.jpg 05.jpg 06.jpg 07.jpg