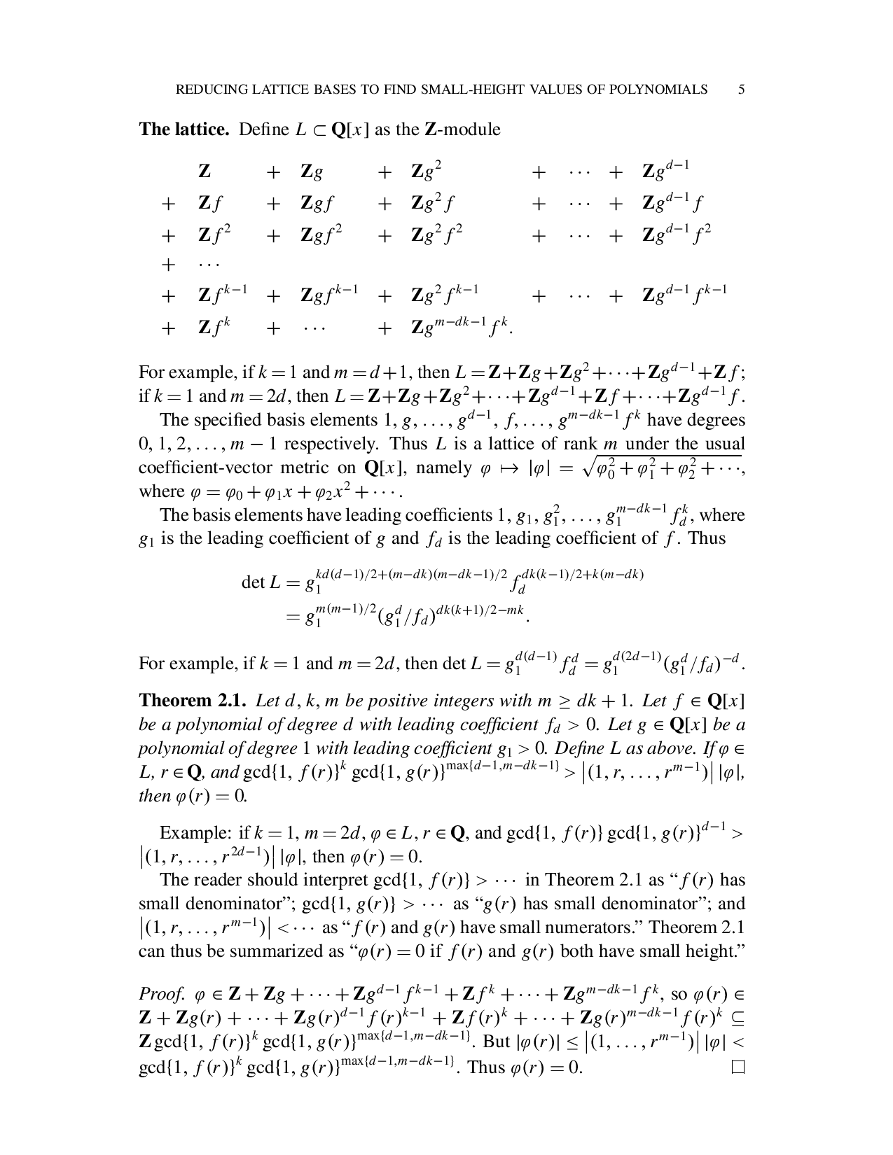
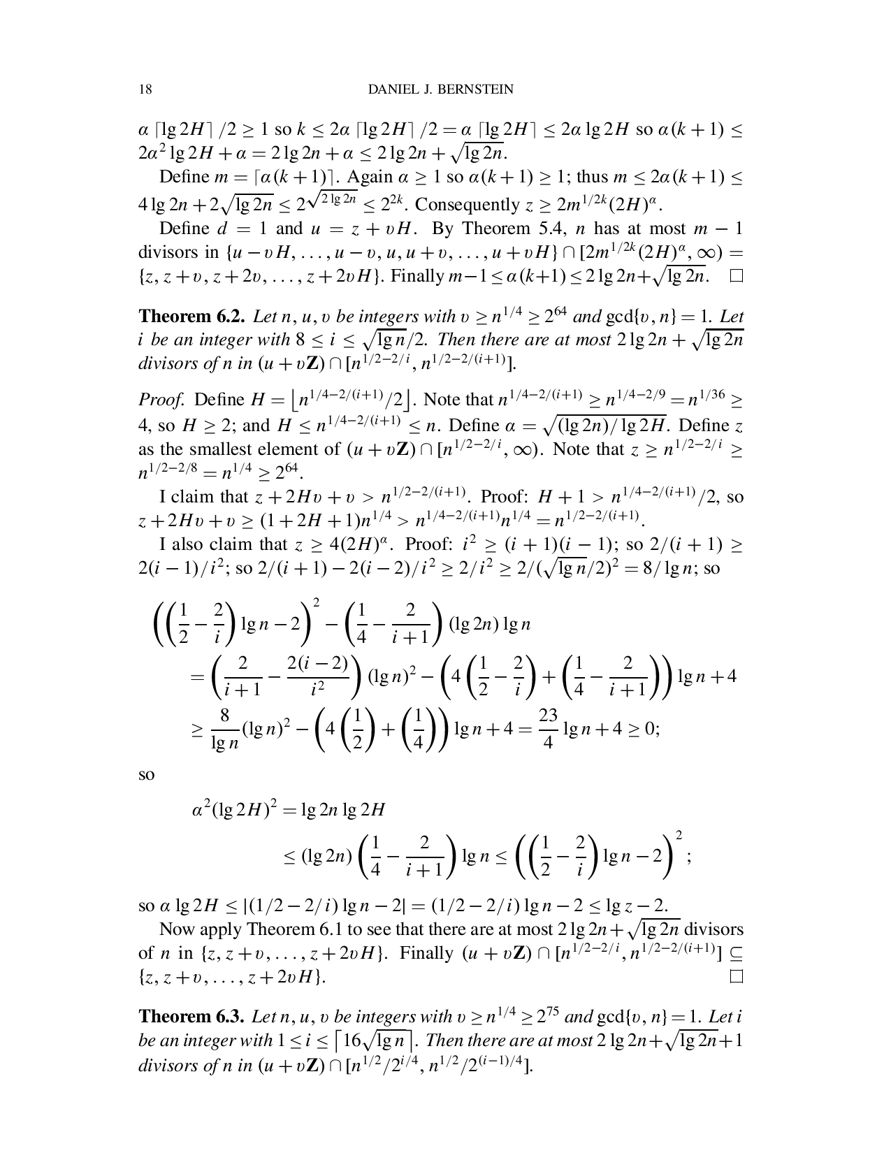
D. J. Bernstein
Notes on writing papers

Transcending the visual appearance of a paper

Here's a quote from the paper "Document Production: Visual or Logical?" in Notices of the American Mathematical Society (June 1987), pages 621-624, by LaTeX author Leslie Lamport:
The purpose of writing is to convey ideas to the reader. The worst aspect of visual systems is that they subvert the process of communicating ideas by encouraging the writer to concentrate on form rather than content. Ideas are conveyed by the logical structure of the text; the function of the visual format is to display this structure. The author should be concerned with the structure, not any particular visual representation.
Here's another quote:
Document design is a skill acquired through training and experience. A logical system can apply the skill of a trained designer to the formatting of a document.

Let's see how well this worked for one of my papers, a paper that was forced to switch visual formats.

Originally I had used the American Mathematical Society's "amsart" format:

But then I found out that the book containing my paper would use the "msripub" format designed by MSRI book editor Silvio Levy. Here's what happens when the same document is formatted with "msripub" rather than "amsart":

Wow, that's a really pleasant document to read! I love the huge chunks of white space, the visually stunning bibliography, the completely non-functional citations to that bibliography, the entertaining little black boxes everywhere, and the line on page 24 sticking not merely into the margin but beyond the printed area of the page. I'm glad that I concerned myself solely with the structure of my document, and not with any particular visual representation.

This document must have been first seen by Levy, who was not merely the skilled "msripub" designer but also the editor of this particular book. Surely he was inspired by the document's near-perfect beauty and thought that a few additional tweaks would produce a truly stunning work of art. The scientific editors of the book waited for Levy to act. But Levy did nothing. Perhaps the explanation lies in Lamport's wise words:

A logical system forces the writer to think in terms of the document's logical structure; it doesn't give him the illusion that he is accomplishing anything with cosmetic formatting changes.

In any event, I wasn't able to see the "msripub" version of the document until April 2007. Levy never sent me a copy. You might think that I could simply change "amsart" to "msripub" in my own copy of the document, but "msripub" is a proprietary format: Levy keeps it to himself. Eventually the scientific editors convinced Levy to send "msripub" to me. I fed my document through "msripub" and admired the output.

Beautiful!

I returned to Lamport's article and discovered that he allowed certain minor exceptions to his "illusion":

Achieving the highest possible quality requires the ability to make changes to the system's output. This will be a matter of fine tuning, changing such things as page breaks and figure placement. ... [However:] The changes will generally be of such a minor nature that they are not worth bothering with in a preliminary version intended for a small audience, nor for any document that is not widely distributed. ... I usually spend less than two minutes per page doing the final formatting to produce camera-ready output. This is insignificant compared with the two to eight hours per page I spend writing.
"Highest possible quality" sounds desirable, and "two minutes" sounds tolerably small, so I decided to edit the "msripub" version of my document.

You might like to pause at this point to contemplate the goals of scientific publication. Isn't it wonderful to see science propelled forward by something as small and simple as the switch from "amsart" to "msripub"?

Back to the story. After many, many, many hours of work I had a new version of the document:
I had changed more than 100 separate lines of the main text, not to mention the introductory figures, the bibliography, etc. Many of those lines were quite difficult to adjust: eliminating one bad line break often meant experimenting with several different wordings and inspecting the output of each. "Two minutes" is, I regret to report, a rather severe underestimate. Could it be that Levy had a different reason for doing nothing at all with this paper?

I spent a few more hours carefully checking the paper against the old "amsart" version to see whether any bugs had been introduced by this flood of changes. I ended up fixing two obsolete cross-references and two typos. And so, finally, the conversion from "amsart" to "msripub" came to an end.